Scilab Website | Contribute with GitLab | Scilab Community | ATOMS toolboxes
Scilab Online Help
2026.0.1 - Русский


STEP_FUNCTION

Step Function

Block Screenshot

Description

In its simpler use this block output a step signal between two definable levels Initial Value and Final Value starting at a specified time Step Time.

The step function is defined by the following equation:

s\left(t\right)=\begin{cases}s_{0} & \textrm{ for }t<t_{0}\\s_{f} & \textrm{ for }t>t_{0}\end{cases}

where t0 is the Start Time, s0 the Initial Value and sf the Final Value.

You can also specify vector or matrice values, for the parameters Initial Value and Final Value. The parameters are expanded to column vectors. and in this case, you obtain multiples output that start at the same Step Time.

The table below shows different combinations

Initial value size Final value size Output size Condition
1 × 1 1 × 1 1 × 1
1 × 1 1 × N 1 × 1
1 × N L × M N × 1 N = L × M
L × M 1 × N N × 1 N = L × M
1 × N L × M N × 1 N = L × M

Data types

  • Output: scalar or column vector of double data type. The size is determined by the parameters Initial Value and Final Value

Parameters

  • Step Time

    The time, in seconds, when the output jumps from the Initial Value parameter to the Final value parameter.

    Properties : Type 'vec' of size 1.

  • Initial Value

    The block output i is equal to the ith Initial Value until the simulation time reaches the Step Time parameter.

    Properties : Type 'vec' of size -1.

  • Final Value

    The block output i jump to ith Final Value when the simulation time reaches the Step Time parameter.

    Properties : Type 'vec' of size -1.

Default properties

  • always active: no

  • direct-feedthrough: no

  • zero-crossing: no

  • mode: no

  • regular outputs:

    - port 1 : size [-1,1] / type 1

  • number/sizes of activation inputs: 0

  • number/sizes of activation outputs: 0

  • continuous-time state: no

  • discrete-time state: no

  • object discrete-time state: no

  • name of computational function: csuper

Examples

Example 1

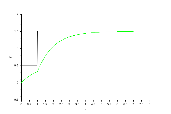
This diagram shows the use of the STEP_FUNCTION block to obtain the response to a step signal of a first order's system defined by a transfer function.

Example 2

This diagram shows the use of STEP_FUNCTION to obtain four step signals.

Interfacing function

  • SCI/modules/scicos_blocks/macros/Sources/STEP.sci

See also

Report an issue
<< SAWTOOTH_f Sources palette SampleCLK >>

Copyright (c) 2022-2026 (Dassault Systèmes S.E.)
Copyright (c) 2017-2022 (ESI Group)
Copyright (c) 2011-2017 (Scilab Enterprises)
Copyright (c) 1989-2012 (INRIA)
Copyright (c) 1989-2007 (ENPC)
with contributors
Last updated:
Wed Feb 04 16:00:47 CET 2026