Counter
Counter
Block Screenshot
Contents
Description
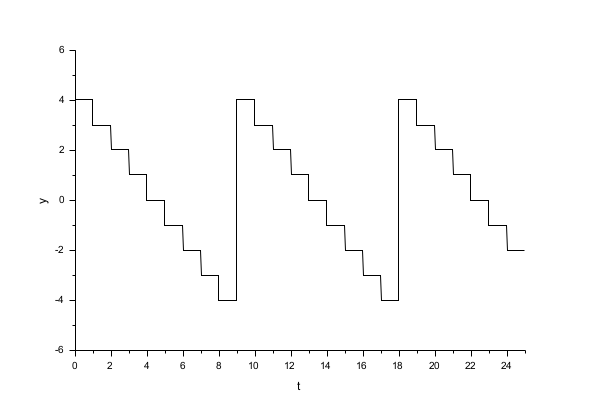
This block counts with an increment/decrement value equal to one from Minimum to Maximum or from Maximum to Minimum depending on the choice of the Rule parameter.
Data types
Output: scalar double.
Parameters
Minimum
The lowest number of the counter.
Properties : Type 'vec' of size 1.
Maximum
The highest number of the counter.
Properties : Type 'vec' of size 1.
Rule (1:Increment, 2:Decrement)
The rule of counting :
1: Counts from the lowest number to the highest number. The count is increasing.
2: Counts from the highest number to the lowest number. The count is decreasing.
Properties : Type 'vec' of size 1.
Default properties
always active: no
direct-feedthrough: no
zero-crossing: no
mode: no
regular outputs:
- port 1 : size [1,1] / type 1
number/sizes of activation inputs: 1
number/sizes of activation outputs: 0
continuous-time state: no
discrete-time state: yes
object discrete-time state: no
name of computational function: counter
Example
This diagram shows the Counter block output versus time.


Interfacing function
SCI/modules/scicos_blocks/macros/Sources/Counter.sci
Computational function
SCI/modules/scicos_blocks/src/c/counter.c (Type 4)
See also
- Modulo_Count — Modulo counter (0 to N counter)
| Report an issue | ||
| << CURV_f | Sources palette | FROMWSB >> |