mese
maximum entropy spectral estimation
Syntax
[sm,fr]=mese(x [,npts]);
Arguments
- x
Input sampled data sequence
- npts
Optional parameter giving number of points of
frandsm(default is 256)- sm
Samples of spectral estimate on the frequency grid
fr- fr
npts equally spaced frequency samples in
[0,.5)
Description
Calculate the maximum entropy spectral estimate of x
Sample

Examples
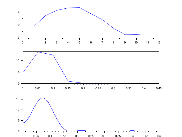
rand("seed",12345), y = (0:10); x1 = sin(2*%pi*y/20); x2 = sin(3.5*%pi*y/20); w = .4*(rand(y)-.5*ones(y)); x = x1+2*x2+w; [sm,fr1] = mese(x,10) // Define macro which computes the // Blackman-Tukey periodogram function [xm, fr]=bt(x) xsize = max(size(x)) [xf,fr] = frmag(x,256) xm = xf.*conj(xf)/xsize endfunction [xm,fr] = bt(x); scf(); subplot(3,1,1); plot(x); subplot(3,1,2); plot(fr1,sm) subplot(3,1,3); plot(fr,xm)
| Report an issue | ||
| << czt | Spectral estimation | pspect >> |