mese
スペクトル推定の最大エントロピ
呼び出し手順
[sm,fr]=mese(x [,npts]);
引数
- x
入力標本化データ系列
- npts
fr
およびsm
の点の数 (デフォルトは256)を指定するオプションパラメータ- sm
周波数グリッド
fr
における スペクトル推定の標本- fr
[0,.5)
の範囲のnpts個の等間隔周波数の標本
説明
x
の最大エントロピスペクトル推定値を計算します.
例

例
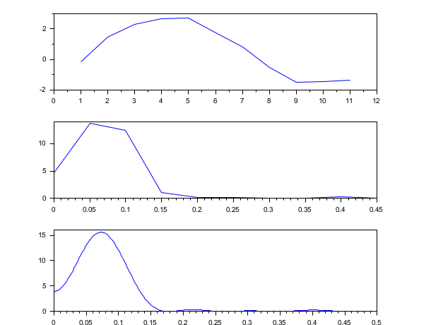
rand("seed",12345), y = (0:10); x1 = sin(2*%pi*y/20); x2 = sin(3.5*%pi*y/20); w = .4*(rand(y)-.5*ones(y)); x = x1+2*x2+w; [sm,fr1] = mese(x,10) // Blackman-Tukey ペリオドグラムを計算するマクロを定義 function [xm, fr]=bt(x) xsize = max(size(x)) [xf,fr] = frmag(x,256) xm = xf.*conj(xf)/xsize endfunction [xm,fr] = bt(x); scf(); subplot(3,1,1); plot(x); subplot(3,1,2); plot(fr1,sm) subplot(3,1,3); plot(fr,xm)
Report an issue | ||
<< czt | Spectral estimation | pspect >> |