histplot
plot a histogram
Syntax
histplot(n, data [,normalization] [,polygon], <opt_args>) histplot(x, data [,normalization] [,polygon], <opt_args>) cf = histplot(..)
Arguments
- n
positive integer (number of classes)
- x
increasing vector defining the classes (
xmay have at least 2 components)- data
vector (data to be analysed)
- normalization
a boolean (%t (default value) or %f)
- polygon
a boolean (%t or %f (default value))
- <opt_args>
This represents a sequence of statements
key1=value1,key2=value2,... wherekey1,key2,...can be any optional plot2d parameter (style,strf,leg, rect,nax, logflag,frameflag, axesflag).- cf
Computed frequencies (bins heighs)
Description
This function plots a histogram of the data vector using the
classes x. When the number n of classes is provided
instead of x, the classes are chosen equally spaced and
x(1) = min(data) < x(2) = x(1) + dx < ... < x(n+1) = max(data)
with dx = (x(n+1)-x(1))/n.
The classes are defined by C1 = [x(1), x(2)] and Ci = ( x(i), x(i+1)] for i >= 2.
Noting Nmax the total number of data (Nmax = length(data)) and Ni the number
of data components falling in Ci, the value of the histogram for x in Ci
is equal to Ni/(Nmax (x(i+1)-x(i))) when normalization is true
(default case) and else, simply equal to Ni. When normalization occurs the
histogram verifies:

when x(1)<=min(data) and max(data) <= x(n+1)
Any plot2d (optional) parameter may be provided; for instance to
plot a histogram with the color number 2 (blue if std colormap is used) and
to restrict the plot inside the rectangle [-3,3]x[0,0.5],
you may use histplot(n,data, style=2, rect=[-3,0,3,0.5]).
Frequency polygon is a line graph drawn by joining all the midpoints of the top of the bins of a histogram.
Therefore we can use histplot function to plot a polygon frequency chart.
The optional argument polygon connects the midpoint of the top of each bar of a histogram with straight lines.
If polygon=%t we will have a histogram with frequency polygon chart.
Enter the command histplot() to see a demo.
Examples
Example #1: variations around a histogram of a gaussian random sample
d = rand(1,10000,'normal'); // the gaussian random sample clf(); histplot(20,d); clf(); histplot(20,d,normalization=%f); clf(); histplot(20,d,leg='rand(1,10000,''normal'')',style=5); clf(); histplot(20,d,leg='rand(1,10000,''normal'')',style=16, rect=[-3,0,3,0.5]);
Example #2: histogram of a binomial (B(6,0.5)) random sample
d = grand(1000,1,"bin", 6, 0.5); c = linspace(-0.5,6.5,8); clf() subplot(2,1,1) histplot(c, d, style=2); xtitle("Normalized histogram") subplot(2,1,2) histplot(c, d, normalization=%f, style=5); xtitle("Non normalized histogram")

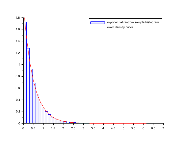
Example #3: histogram of an exponential random sample
lambda = 2; X = grand(100000,1,"exp", 1/lambda); Xmax = max(X); clf() histplot(40, X, style=2); x = linspace(0,max(Xmax),100)'; plot2d(x,lambda*exp(-lambda*x),strf="000",style=5) legend(["exponential random sample histogram" "exact density curve"]);

Example #4: the frequency polygon chart and the histogram of a gaussian random sample
n = 10; data = rand(1,1000,"normal"); clf(); histplot(n, data, style=12, polygon=%t); legend(["normalized histogram" "frequency polygon chart"],"lower_caption");

See also
History
| Версия | Описание |
| 5.5.0 | polygon option and cf output added. |
| Report an issue | ||
| << graypolarplot | 2d_plot | ВидЛинии >> |