plot2d2
2次元プロット (階段状関数)
呼び出し手順
plot2d2([x],y) plot2d2([x],y,<opt_args>) plot2d2([logflag],x,y,[style,strf,leg,rect,nax]) hdl = plot2d2(...)
引数
- args
パラメータの説明については
plot2d参照.
説明
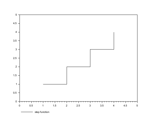
plot2d2 は plot2dと同じですが,
(x,y)により指定される関数が区分定数であると仮定されます.
デフォルトで, 連続するプロットは重ね描きされます.前のプロットを消去するには
clf()を使用してください.
コマンド plot2d2() を入力するとデモを参照できます.
![]() | plot2dxx (xx = 1 から 4)により提供されるモードは全て
plot2dを用いて,
polyline_styleオプションを対応する数字に設定することにより,
有効にすることができます. |
例
// plots a step function of value i on the segment [i,i+1] // the last segment is not drawn plot2d2([1:4],[1:4],1,"111","step function",[0,0,5,5])

参照
History
| バージョン | 記述 |
| 2025.0.0 | Function returns the created handle(s). |
| Report an issue | ||
| << plot2d | 2d_plot | plot2d3 >> |
