erfinv
逆誤差関数
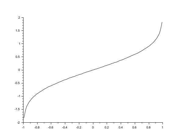
呼び出し手順
y = erfinv(x)
引数
- x
実数ベクトルまたは行列
- y
(xと同じ大きさの)実数ベクトルまたは行列
説明
erfinv 関数はerf
誤差関数の逆,
つまり,-1 ≤ x ≤ 1 となるような
任意のxについて
erf(erfinv(x)) = x を計算します.
参考文献
Milton Abramowitz and Irene A. Stegun, eds. Handbook of Mathematical Functions with Formulas, Graphs, and Mathematical Tables. New York: Dover, 1972.
| Report an issue | ||
| << erfi | Special Functions | findm >> |
