PID
PID レギュレータ
ブロックのスクリーンショット
説明
このブロックは PID (比例-積分-微分)制御器を実装します. "誤差"の値 Ue は,観測されたプロセス変数 Upr とセットポイント指令値 Ur の差から計算します.
Ue = Ur - Upr
制御目的は,プロセス変数 Up をセットポイント値 Urに追従させることです. PID制御器は,工業プロセスのフィードバック制御において 広く使用されています.
PID制御器の計算(アルゴリズム)には以下の3つのパラメータの値が含まれます; 比例 Kp, 積分 Ki, 微分 Kd. これらの項は,誤差信号Ueに適用する3種類の基本的な数学関数を 記述します. Kp はカレントの誤差への反応を定義, Ki は最近の誤差の合計への反応を定義, Kd は誤差の変化率への反応を定義します.
制御バルブまたは加熱要素の供給電力のような制御要素を通じて プロセスを調整するために, これらの3種類の処理の重み付き加算が使用されます. 従来のフィードバック制御系の基本構造を以下に示します:
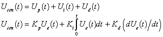
PID 則は入力変数 Up(t), その時間積分 Ui(t), その1階微分 Ud(t) の線形結合です. 制御則 Ucon(t) は以下の形式を有します:
ダイアログボックス
比例
誤差を乗じるゲインの値.
プロパティ : 大きさ-1の'vec'型.
積分
誤差の積分時間の値.(1/Integral)
プロパティ : 大きさ -1 の'vec'型.
微分
誤差の微分時間の値.
プロパティ : 大きさ-1の'vec'型.
デフォルトプロパティ
常にアクティブ: no
直達項: no
ゼロ交差: no
モード: no
標準入力:
- ポート 1 : 大きさ [-1,-2] / 1型
標準出力:
- ポート 1 : 大きさ [-1,-2] / 1型
アクティベーション入力の数/大きさ: 0
アクティベーション出力の数/大きさ: 0
連続時間状態量: no
離散時間状態量: no
オブジェクト離散時間状態量: no
計算用関数の名前: csuper
インターフェイス用関数
SCI/modules/scicos_blocks/macros/Linear/PID.sci
コンパイル済みのスーパーブロックの内容

例
例1
この例は,PIDレギュレータの使用例を示します. この制御は,簡単に出力信号 Upr(t) を指令信号 Ur(t) に一致させます.
この例では,制御系は, ダンピング係数 = 0.5, カットオフ周波数 fc = 100 Hzの 2次の単位ゲインローパスフィルタです. 伝達関数 H(s) を以下に示します:
このフィルタをモデル化するには,連続時間システムパレットの 連続系伝達関数ブロック (CLR)を使用します.
PID パラメータ Kp, Ki および Kd を 100, 0.1 および 0に設定します.
スコープはシステム誤差 Ue (黒), 基準信号 Ur (青) およびプロセス信号 Upr(赤) の波形を表示します. 最初,プロセス信号 Upr(t) が基準信号 Ur(t) に追従していないことが わかります.


例2


例3


| Report an issue | ||
| << INTEGRAL_m | Continuous time systems palette | TCLSS >> |