Scilab Website | Contribute with GitLab | Scilab Community | ATOMS toolboxes
Scilab Online Help
2026.0.1 - Français


sca

set the current axes entity

Syntax

a=sca(a)

Arguments

a

a handle, the handle on the Axes entity

Description

sca(a) is used to set the current Axes entity (see graphics_entities) to the one pointed to by the handle a. The drawing functions generally use the current axes entity.

Examples

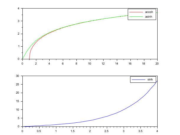
clf()
a1=newaxes();
a1.axes_bounds=[0,0,1.0,0.5];
t=0:0.1:20;
plot(t,acosh(t),'r')
a2=newaxes();
a2.axes_bounds=[0,0.5,1.0,0.5];
x=0:0.1:4;
plot(x,sinh(x))

sca(a1); //make first axes current
plot(t,asinh(t),'g')
legend(['acosh','asinh'])
sca(a2); //make second axes current
legend('sinh')

See also

  • subplot — quadrille la figure ou frame courante et fixe le repère graphique actif sur la case choisie
  • gda — Return handle of default axes.
  • newaxes — Creates a new Axes entity
Report an issue
<< rotate_axes axes_operations sda >>

Copyright (c) 2022-2026 (Dassault Systèmes S.E.)
Copyright (c) 2017-2022 (ESI Group)
Copyright (c) 2011-2017 (Scilab Enterprises)
Copyright (c) 1989-2012 (INRIA)
Copyright (c) 1989-2007 (ENPC)
with contributors
Last updated:
Wed Feb 04 15:58:57 CET 2026