freson
peak frequencies
Syntax
fr = freson(h)
Arguments
- h
A siso linear dynamical system, in state space, transfer function or zpk representations.
- fr
vector of peak frequencies in Hz
Description
returns the vector frequencies at which the response amplitude of a siso dynamical system is a relative maximum also called resonance frequencies.
Examples
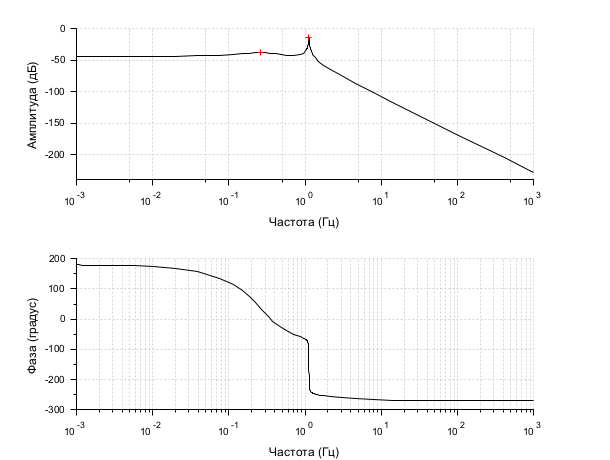
Continuous time system
h = syslin('c',-1+%s,(3+2*%s+%s^2)*(50+0.1*%s+%s^2)); fr = freson(h) clf bode(h); fig=gcf();sca(fig.children(2)); [phi,db] = phasemag(repfreq(h,fr)); plot(fr,db(:),'+r')

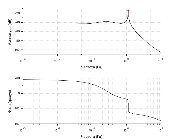
Discrete time system
h = syslin('c',-1+%s,(3+2*%s+%s^2)*(50+0.1*%s+%s^2)); hd = dscr(h, 0.05); fr = freson(hd) clf bode(hd); fig=gcf();sca(fig.children(2)); [phi,db] = phasemag(repfreq(hd,fr)); plot(fr,db(:),'+r');

See also
History
| Версия | Описание |
| 6.0 | handling discrete systems and zpk representation, peak detection improved. |
| Report an issue | ||
| << freq | Frequency Domain | gainplot >> |