asin
逆正弦
呼び出し手順
t = asin(x)
引数
- x, t
実数または複素数のベクトル,行列,超行列で,大きさは同じである.
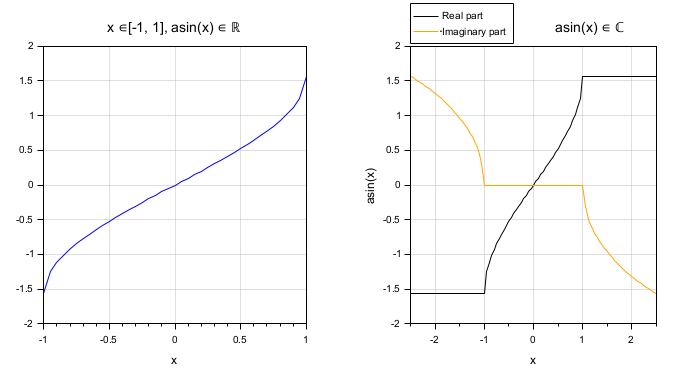
説明
t
のエントリは,
x
の対応するエントリの逆正弦となります.
例

x = 0:0.2:1; x = [-x ; x] asin(x) A = [1,2 ; 3,4]; a = asin(A) sin(a)
--> x = 0:0.2:1; x = [-x ; x] x = 0. -0.2 -0.4 -0.6 -0.8 -1. 0. 0.2 0.4 0.6 0.8 1. --> asin(x) ans = 0. -0.2013579 -0.4115168 -0.6435011 -0.9272952 -1.5707963 0. 0.2013579 0.4115168 0.6435011 0.9272952 1.5707963 --> A = [1,2 ; 3,4]; --> a = asin(A) a = 1.5707963 + 0.i 1.5707963 - 1.3169579i 1.5707963 - 1.7627472i 1.5707963 - 2.0634371i --> sin(a) ans = 1. + 0.i 2. - 1.061D-16i 3. - 1.732D-16i 4. - 2.372D-16i
履歴
バージョン | 記述 |
5.5.2 | For x>1 , imag(asin(x)) is now set negative. |
Report an issue | ||
<< asech | Trigonometry | asind >> |