STEP_FUNCTION
Step Function
Block Screenshot
Contents
Description
In its simpler use this block output a step signal between two definable levels Initial Value and Final Value starting at a specified time Step Time.
The step function is defined by the following equation:

where
t0
is the Start Time,
s0
the Initial Value and
sf
the Final Value.
You can also specify vector or matrice values, for the parameters Initial Value and Final Value. The parameters are expanded to column vectors. and in this case, you obtain multiples output that start at the same Step Time.
The table below shows different combinations
| Initial value size | Final value size | Output size | Condition |
| 1 × 1 | 1 × 1 | 1 × 1 | |
| 1 × 1 | 1 × N | 1 × 1 | |
| 1 × N | L × M | N × 1 | N = L × M |
| L × M | 1 × N | N × 1 | N = L × M |
| 1 × N | L × M | N × 1 | N = L × M |
Data types
Output: scalar or column vector of double data type. The size is determined by the parameters Initial Value and Final Value
Parameters
Step Time
The time, in seconds, when the output jumps from the Initial Value parameter to the Final value parameter.
Properties : Type 'vec' of size 1.
Initial Value
The block output
iis equal to theithInitial Value until the simulation time reaches the Step Time parameter.Properties : Type 'vec' of size -1.
Final Value
The block output
ijump toithFinal Value when the simulation time reaches the Step Time parameter.Properties : Type 'vec' of size -1.
Default properties
always active: no
direct-feedthrough: no
zero-crossing: no
mode: no
regular outputs:
- port 1 : size [-1,1] / type 1
number/sizes of activation inputs: 0
number/sizes of activation outputs: 0
continuous-time state: no
discrete-time state: no
object discrete-time state: no
name of computational function: csuper
Examples
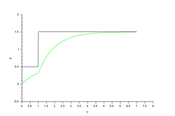
Example 1
This diagram shows the use of the STEP_FUNCTION block to obtain the response to a step signal of a first order's system defined by a transfer function.


Example 2
This diagram shows the use of STEP_FUNCTION to obtain four step signals.


Interfacing function
SCI/modules/scicos_blocks/macros/Sources/STEP.sci
See also
- RAMP — Ramp
- CURV_f — Curve
- Sigbuilder — Signal creator/generator
| Report an issue | ||
| << SAWTOOTH_f | Sources palette | SampleCLK >> |