csim
simulation (time response) of linear system
Syntax
[y, x] = csim(u, t, sl) [y, x] = csim(u, t, sl, x0) [y, x] = csim(u, t, sl, x0, tol)
Arguments
- u
function, list or string (control)
- t
real vector specifying times with,
t(1)
is the initial time (x0=x(t(1))
).- sl
A SISO or SIMO linear dynamical system, in state space, transfer function or zpk representations, in continuous time.
- y
a matrix such that
y=[y(t(i)]
, i=1,..,n- x
an optional matrix such that
x=[x(t(i)]
, i=1,..,n- tol
a 2 vector [atol rtol] defining absolute and relative tolerances for ode solver (see ode)
Description
simulation of the controlled linear system sl
.
sl
is assumed to be a continuous-time system
represented by a syslin
list.
u
is the control and x0
the initial state.
y
is the output and x
the state.
The control can be:
1. a function : [inputs]=u(t)
2. a list : list(ut,parameter1,....,parametern)
such that:
inputs=ut(t,parameter1,....,parametern)
(ut
is a function)
3. the string "impuls"
for impulse
response calculation (here sl
must have
a single input and x0=0
). For systems
with direct feedthrough, the infinite pulse at t=0 is
ignored.
4. the string "step"
for step response calculation
(here sl
must have a single input and
x0=0
)
5. a vector giving the values of u corresponding to each t value.
Examples
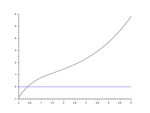
s=poly(0,'s'); rand('seed',0); w=ssrand(1,1,3); w('A')=w('A')-2*eye(); t=0:0.05:5; //impulse(w) = step (s * w) plot2d([t',t'],[(csim('step',t,tf2ss(s)*w))',0*t'])

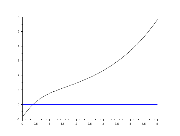
s=poly(0,'s'); rand('seed',0); w=ssrand(1,1,3); w('A')=w('A')-2*eye(); t=0:0.05:5; plot2d([t',t'],[(csim('impulse',t,w))',0*t'])

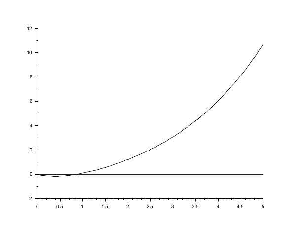
s=poly(0,'s'); rand('seed',0); w=ssrand(1,1,3); w('A')=w('A')-2*eye(); t=0:0.05:5; //step(w) = impulse (s^-1 * w) plot2d([t',t'],[(csim('step',t,w))',0*t'])

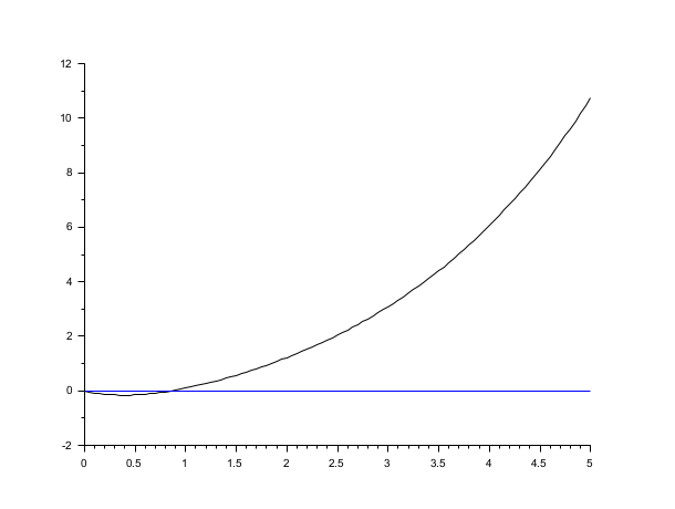
s=poly(0,'s'); rand('seed',0); w=ssrand(1,1,3); w('A')=w('A')-2*eye(); t=0:0.05:5; plot2d([t',t'],[(csim('impulse',t,tf2ss(1/s)*w))',0*t'])

s=poly(0,'s'); rand('seed',0); w=ssrand(1,1,3); w('A')=w('A')-2*eye(); t=0:0.05:5; //input defined by a time function deff('u=timefun(t)','u=abs(sin(t))') clf();plot2d([t',t'],[(csim(timefun,t,w))',0*t'])

See also
- syslin — définition d'un système dynamique linéaire
- dsimul — state space discrete time simulation
- flts — time response (discrete time, sampled system)
- ltitr — discrete time response (state space)
- rtitr — discrete time response (transfer matrix)
- ode — solveur d'équations différentielles ordinaires
- dae — Solveur de système d'Equations Différentielles Algébriques
History
Version | Description |
6.0 | handling zpk representation |
Report an issue | ||
<< arsimul | Domaine Temporel | damp >> |