plot2d2
2D plot (step function)
Syntax
plot2d2([x],y) plot2d2([x],y,<opt_args>) plot2d2([logflag],x,y,[style,strf,leg,rect,nax]) hdl = plot2d2(...)
Arguments
- args
see
plot2dfor a description of parameters.
Description
plot2d2 is the same as plot2d but the
functions given by (x,y) are supposed to be piecewise
constant.
By default, successive plots are superposed. To clear the previous
plot, use clf().
Enter the command plot2d2() to see a demo.
![]() | Note that all the modes proposed by plot2dxx (xx = 1 to 4) can be enabled
using plot2d and setting the polyline_style
option to the corresponding number. |
Examples
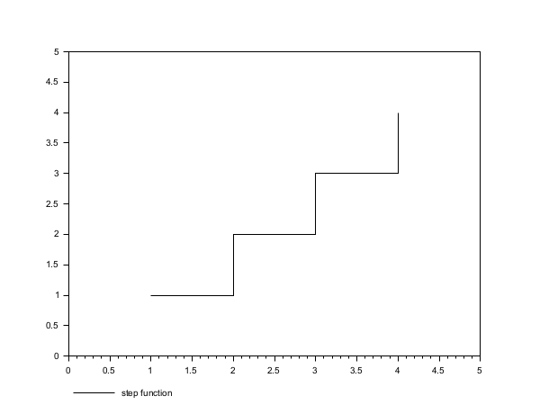
// plots a step function of value i on the segment [i,i+1] // the last segment is not drawn plot2d2([1:4],[1:4],1,"111","step function",[0,0,5,5])



See also
History
| Version | Description |
| 2025.0.0 | Function returns the created handle(s). |
| Report an issue | ||
| << plot2d | 2d_plot | plot2d3 >> |
