phasemag
phase and magnitude computation
Syntax
[phi, db] = phasemag(z) [phi, db] = phasemag(z, mod)
Arguments
- z
matrix or row vector of complex numbers.
- mod
character string
- mod='c'
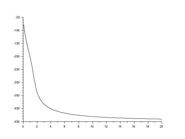
"continuous" representation between -infinity and +360 degrees (default)
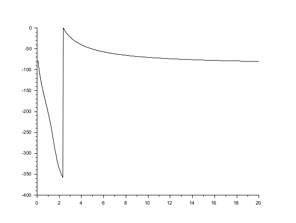
- mod='m'
representation between -360 and 0 degrees
- phi
phases (in degree) of
z.- db
magnitude (in Db)
Description
phasemag computes the phases and magnitudes of the entries
of a complex matrix. For mod='c'phasemag
computes phi(:,i+1) to minimize the distance with
phi(:,i), i.e. it tries to obtain a "continuous
representation" of the phase.
To obtain the phase between -%pi and %pi use
phi=atan(imag(z),real(z))
Examples
s=poly(0,'s'); h=syslin('c',1/((s+5)*(s+10)*(100+6*s+s*s)*(s+.3))); [frq,rf]=repfreq(h,0.1,20,0.005); scf(); plot2d(frq',phasemag(rf,'c')'); scf(); plot2d(frq',phasemag(rf,'m')');


See also
| Report an issue | ||
| << nyquistfrequencybounds | Frequency Domain | phaseplot >> |