Modulo_Count
Modulo counter (0 to N counter)
Block Screenshot
Contents
Description
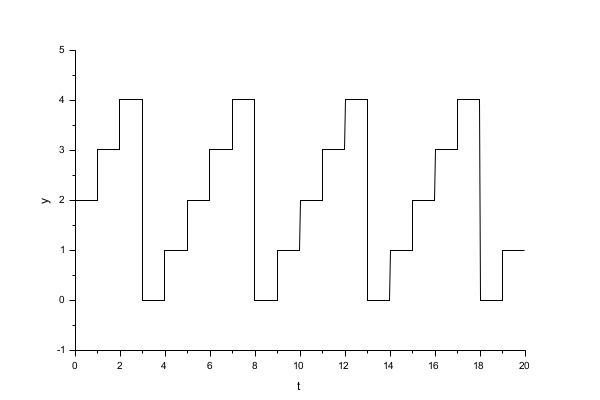
It is a discrete block. The block outputs a periodic scalar piecewise constant signal. Signal begin at Initial State value. The output is incremented when block received an event on its activation input until output reaches the Upper Limit parameter value. At this time the output is reset to 0. For a periodic event input, the output is a quantized sawtooth signal.
Data type
Output: scalar double.
Parameters
Initial State
Scalar. Initial discrete state.
Properties : Type 'vec' of size 1
Upper Limit (positive number)
Scalar. Number of required step.
Properties : Type 'vec' of size 1
Default properties
always active: no
direct-feedthrough: no
zero-crossing: no
mode: no
regular outputs:
- port 1 : size [1,1] / type 1
number/sizes of activation inputs: 1
number/sizes of activation outputs: 0
continuous-time state: no
discrete-time state: yes
object discrete-time state: no
name of computational function: modulo_count
Example
This diagram shows the Modulo_count usage as a quantized sawtooth generator application.


Interfacing function
SCI/modules/scicos_blocks/macros/Sources/Modulo_Count.sci
Computational function
SCI/modules/scicos_blocks/src/c/modulo_count.c (Type 4)
See also
- GENSQR_f — Square wave generator
- SAWTOOTH_f — Sawtooth generator
- Sigbuilder — Signal creator/generator
| Report an issue | ||
| << GENSQR_f | Sources palette | PULSE_SC >> |